Regeling van de Minister van Sociale Zaken en Werkgelegenheid van 7 april 2026, nr. 2026-0000083098, tot wijziging van de Regeling vrijstellingen Wet Bpf 2000 in verband met actualisatie van de performancetoets [KetenID WGK027966]

De Minister van Sociale Zaken en Werkgelegenheid;

Gelet op de artikelen 5, vierde lid, en 7, negende lid, van het Vrijstellings- en boetebesluit Wet Bpf 2000;

Besluit:

ARTIKEL I. REGELING VRIJSTELLINGEN WET BPF 2000

De Regeling vrijstellingen Wet Bpf 2000 wordt als volgt gewijzigd:

A

Artikel 1 komt te luiden:

Artikel 1. Performancetoets

  • 1. Ten behoeve van de performancetoets stelt het bedrijfstakpensioenfonds jaarlijks het beleggingsbeleid voor het daarop volgende kalenderjaar vast waarbij een adequate verdeling van de beleggingen is gemaakt over beleggingscategorieën. Van een adequate verdeling over beleggingscategorieën is sprake indien aannemelijk gemaakt kan worden dat die verdeling:

    • a. is bepaald in samenhang met het financieringsbeleid en is afgestemd op de risicohouding van deelnemers, gewezen deelnemers en pensioengerechtigden en de beoogde pensioendoelstelling, bedoeld in artikel 10a, eerste lid, van de Pensioenwet; en

    • b. is gekozen op basis van projecties die gebaseerd zijn op realistische en onderling consistente veronderstellingen.

  • 2. Als benchmark als bedoeld in artikel 5, eerste lid, van het Vrijstellings- en boetebesluit Wet Bpf 2000 stelt het bedrijfstakpensioenfonds een normportefeuille vast. De normportefeuille wordt jaarlijks voor het daarop volgende kalenderjaar vastgesteld en is gebaseerd op de in het eerste lid bedoelde verdeling van beleggingen over hoofdcategorieën, waarbij deze verdeling verder onderverdeeld kan worden naar deelcategorieën en landen of sectoren waarin belegd wordt en waarbij deze onderverdeling voorzien wordt van herbeleggingsindices voor het daarop volgende jaar die breed samengesteld, belegbaar en objectief meetbaar zijn. Indien geen representatieve openbare herbeleggingsindex bestaat of van toepassing is, kan een representatieve niet-openbare herbeleggingsindex worden gebruikt of, indien deze laatste ook niet beschikbaar is, een index waarvan het rendement identiek is aan het feitelijke rendement van de betreffende categorie of deelcategorie. Bij de vaststelling van de normportefeuille geeft het bestuur van het bedrijfstakpensioenfonds aan welk beleid wordt gehanteerd voor de periodieke herschikking van de in de normportefeuille vastgelegde verdeling over hoofd- en deelcategorieën.

  • 3. In afwijking van het eerste en tweede lid kan het bedrijfstakpensioenfonds een eenmaal vastgesteld beleggingsbeleid respectievelijk vastgestelde normportefeuille in de loop van een jaar voor het op dat moment nog resterende deel van dat jaar opnieuw vaststellen vanwege substantiële veranderingen in het beleggingsbeleid van het pensioenfonds. Iedere aanpassing in de normportefeuille wordt voorafgaand aan de inwerkingtreding van die aanpassing afdoende vastgelegd en onderbouwd.

  • 4. Het bedrijfstakpensioenfonds:

    • a. deelt op verzoek vanaf 1 april van het desbetreffende jaar schriftelijk mee welk beleggingsbeleid als bedoeld in het eerste lid het heeft gekozen waarbij de gemaakte keuzen met een toelichting zijn onderbouwd;

    • b. overlegt op verzoek vanaf 1 april van het desbetreffende jaar een verklaring van een externe accountant die voldoet aan artikel 393, eerste lid, van Boek 2 van het Burgerlijk Wetboek, waaruit blijkt dat een normportefeuille als bedoeld in het tweede lid is vastgesteld en voorzien is van een toelichting waarbij de gemaakte keuzen zijn onderbouwd;

    • c. deelt op verzoek vanaf 1 januari schriftelijk mee welke normportefeuille als bedoeld in het tweede en derde lid het over het daaraan voorafgaande jaar had gekozen waarbij de gemaakte keuzen met een toelichting zijn onderbouwd;

    • d. stelt op verzoek en indien van toepassing vanaf 1 juli de over het voorafgaande jaar gehanteerde niet-openbare herbeleggingsindices of indices waarvan het rendement identiek is aan het feitelijke rendement van de betreffende categorie of deelcategorie, bedoeld in het tweede en derde lid, ter beschikking zonder hiervoor op enigerlei wijze kosten in rekening te brengen; en

    • e. deelt op verzoek vanaf 1 juli schriftelijk het feitelijk rendement van het bedrijfstakpensioenfonds en het rendement van de gekozen normportefeuille als bedoeld in punt 4 van de bijlage bij deze regeling mee.

B

Artikel 2 komt te luiden:

Artikel 2. Performancetoets na fusie

Indien de fusie van twee of meer bedrijfstakpensioenfondsen tot een gefuseerd bedrijfstakpensioenfonds heeft plaatsgevonden in de loop van een kalenderjaar wordt de performancetoets van het gefuseerde bedrijfstakpensioenfonds over het kalenderjaar van de fusie als volgt berekend:

  • a. voor de periode voorafgaand aan de fusie wordt voor iedere maand het gewogen gemiddelde bepaald van het feitelijke netto maandrendement en het maandelijkse normrendement na aftrek van normkosten, waarbij weging plaatsvindt op basis van de vermogens van de fuserende pensioenfondsen aan het begin van de maand;

  • b. voor de periode vanaf de fusie worden voor iedere maand het feitelijke netto rendement en het normrendement na aftrek van normkosten van die maand van het gefuseerde bedrijfstakpensioenfonds gehanteerd; en

  • c. de performancetoets wordt toegepast op de aldus gevormde reeks van 60 maandrendementen.

C

In artikel 7, derde lid, wordt ‘1 januari 2027’ vervangen door ‘1 januari 2028’.

D

De bijlage komt te luiden:

Bijlage behorend bij artikel 1. Performancetoets

De performancetoets wordt als volgt uitgevoerd.

  • 1. De interne beleggingsuitvoeringskosten worden ieder kalenderjaar bepaald en uitgedrukt in procentpunten meegenomen in het rendement op actuele basis. Onder interne beleggingsuitvoeringskosten worden tevens begrepen de door het bedrijfstakpensioenfonds te betalen beheerskosten aan externe vermogensbeheerders, met inbegrip van kosten van bewaarneming en administratiekosten voor zover niet reeds tot uitdrukking komend in de rendementsberekening over aangehouden eenheden of tegoeden bij externe vermogensbeheerders.

  • 2. Per gehanteerde herbeleggingsindex, gegroepeerd naar categorieën, gelden de volgende normkosten op basis van de meest recente rapportage van de Commissie Parameters:

     

    Categorie

    Normkosten (%)

    Commissie Parameters 2023

    a.

    staatsobligaties

    0,2

    b.

    overige vastrentende waarden

    0,2

    c.

    aandelen (inclusief beursgenoteerd onroerend goed)

    0,2

    d.

    onroerend goed niet beursgenoteerd

    0,6

    e.

    grondstoffen

    0,2

    f.

    hedge funds

    1,8

    g.

    alternatieve beleggingen

    1,8

    h.

    overige beleggingen, exclusief overlays

    Feitelijk gemaakte kosten

    i.

    overlaybeleggingen

    Feitelijk gemaakte kosten

  • 3. Er worden geen normkosten in mindering gebracht op herbeleggingsindices waarvan het rendement identiek is aan het feitelijke nettorendement van de betreffende categorie.

  • 4. Jaarlijks voor 1 juli wordt de t-toetsingsgrootheid over de vijf daaraan voorafgaande kalenderjaren vastgesteld op de volgende manier:

    waarbij:

    • a. het rekenkundig gemiddelde over T perioden is van het verschil tussen de natuurlijke logaritmische nettorendementen van de daadwerkelijke portefeuille van het bedrijfstakpensioenfonds (f) en van de normportefeuille (b), ofwel: , waarbij het subscript t steeds de maand aangeeft;

    • b. het rendement van de portefeuille na aftrek van feitelijke kosten inclusief interne beleggingsuitvoeringskosten is en het rendement van de normportefeuille na aftrek van normkosten over periode t is;

    • c. de rendementen van portefeuille en normportefeuille zijn berekend in overeenstemming met daarvoor geldende rekenkundige standaarden;

    • d. ;

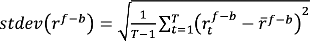
    • e. de standaarddeviatie over T perioden is van het verschil tussen de logaritmische nettorendementen van de daadwerkelijke portefeuille van het fonds en de normportefeuille. Hierbij is het van belang dat deze standaarddeviatie is gebaseerd op de variantie van waarbij gedeeld is door T–1 in plaats van door T, ofwel: ;

    • f. de standaardfout gelijk is aan de standaarddeviatie van gedeeld door de wortel van T;

    • g. T=60 bij gebruik van maandgegevens;

    • h. de in de berekening te gebruiken standaarddeviatie op minimaal 0,25% wordt gesteld, om te voorkomen dat strikt passief beleggende fondsen om rekentechnische redenen niet voor de performancetoets zouden slagen;

    • i. de t-toetsingsgrootheid op eenzelfde grondslag wordt vastgesteld en wordt gecontroleerd door een externe accountant die voldoet aan artikel 393, eerste lid, van Boek 2 van het Burgerlijk Wetboek;

    • j. voor een eenzijdige Type 1 fout van 5% op basis van T=60 maanden aan rendementsdata, de relevante kritieke waarde op basis van 59 vrijheidsgraden voor T=60 1,671 is; en

    • k. bij de t-toets + de kritieke waarde van 1,671 ≥ 0 geen sprake is van significante underperformance.

  • 5. De overgang naar de nieuwe performancetoets vindt ineens plaats met ingang van 1 januari 2028. De eerste toetsing wordt uitgevoerd over de periode van de jaren 2023 tot en met 2027, waarbij voor de jaren 2023 tot en met 2026 de voor die jaren bij de toen geldende performancetoets gehanteerde normportefeuilles worden gebruikt, evenals de voor die jaren gehanteerde normkosten. Aan bedrijfstakpensioenfondsen wordt eenmalig de mogelijkheid geboden om in een keer over te stappen op de nieuwe performancemeting. Dit betekent dan een herrekening van eerdere performancecijfers conform bovenstaande methodiek. De netto maandrendementen van de normportefeuilles worden voor deze jaren bepaald door in iedere maand 1/12e deel van de normkosten in mindering te brengen op de normrendementen.

ARTIKEL II. INWERKINGTREDING

Deze regeling treedt in werking met ingang van 1 januari 2028, met uitzondering van artikel I, onderdeel C, dat in werking treedt met ingang van de dag na de datum van uitgifte van de Staatscourant waarin deze regeling wordt geplaatst.

Deze regeling zal met de toelichting in de Staatscourant worden geplaatst.

De Minister van Sociale Zaken en Werkgelegenheid, J.A. Vijlbrief

TOELICHTING

I. Algemeen

Rol van de performancetoets in de systematiek van de verplichtstelling

De performancetoets heeft in algemene zin een bijzondere rol in de werking van de Wet verplichte deelneming in een bedrijfstakpensioenfonds 2000 (hierna: Wet Bpf). Verplichtgestelde bedrijfstakpensioenfondsen voeren een opdracht van hun werkgevers en werknemers uit, waarbij afdoende representativiteit moet worden aangetoond. Het is in beginsel niet mogelijk om niet deel te nemen aan een verplichtgestelde pensioenregeling. Naar aanleiding van een rapportage van de Stichting van de Arbeid in 1995, zijn enkele gronden voor vrijstelling opgenomen in het Vrijstellings- en boetebesluit Wet Bpf 2000 (hierna: Vrijstellings- en boetebesluit). Eén van deze voorwaarden is dat ‘een bedrijfstakpensioenfonds jarenlang substantieel minder scoort’ ten aanzien van de beleggingsperformance. Daarmee is er een route gecreëerd waarmee, als dit het geval is, de werkgever kan ‘stemmen met de voeten’. Uiteraard kunnen werkgevers ook via andere routes, zoals via vertegenwoordiging in organen van het bedrijfstakpensioenfonds, het beleid ten aanzien van de beleggingsperformance proberen te beïnvloeden. Bij een vrijstelling zal een werkgever dezelfde pensioenregeling als die van het bedrijfstakpensioenfonds onder moeten brengen bij een andere pensioenuitvoerder. Impliciet is de performancetoets daarmee ook een (aanvullende) prikkel voor verplichtgestelde bedrijfstakpensioenfondsen om een passend beleggingsbeleid te voeren, met afdoende rendementen voor deelnemers. Aan deze pensioenregeling dienen in dat geval ten minste gelijkwaardige aanspraken te worden ontleend als aan de pensioenregeling van het verplichtgestelde bedrijfstakpensioenfonds worden ontleend. Het begrip ‘gelijkwaardige aanspraken’ is geïntroduceerd met de wijziging van het Vrijstellings- en boetebesluit van 15 augustus 2025, om aan te sluiten bij de Wet toekomst pensioenen (Wtp).

De performancetoets is geen absolute toetsing op rendementen. Per sector wordt immers de vormgeving van de pensioenregeling en daarmee ook het beleggingsbeleid afgestemd op de kenmerken van de sector. De mate waarin de deelnemers bereid zijn om risico te nemen (risicohouding) en deze kunnen dragen staan hierin centraal. Sturing op beleggingsresultaten in relatie tot het risico is onderdeel van de governance van bedrijfstakpensioenfondsen. Echter, om te standaardiseren wanneer een verplichtgesteld bedrijfstakpensioenfonds ‘jarenlang substantieel minder scoort’, zijn er berekeningsmethodes voorgeschreven. Om ook maatwerk te kunnen bieden, dat aansluit bij de bedrijfstakpensioenfondsen die het betreft, is er sprake van een relatieve performance ten opzichte van eigen benchmarks.

Actualisatie performancetoets

In de Wtp zijn de solidaire en de flexibele premieregeling geïntroduceerd. Na afloop van de transitieperiode zullen de huidige uitkeringsovereenkomsten zijn uitgefaseerd voor wat betreft de toekomstige premie-inleg. Het nieuwe pensioenstelsel en ontwikkelingen in normenkaders over de afgelopen decennia zorgen ervoor dat een actualisatie van de performancetoets nodig is, waarbij de prestaties van het verplichtgestelde bedrijfstakpensioenfonds (hierna: bedrijfstakpensioenfonds) worden afgezet tegen feitelijke normportefeuilles.

De nieuwe performancetoets zal ingaan per 1 januari 2028, zodat bedrijfstakpensioenfondsen niet worden belast met de overgang hiernaar tijdens de transitieperiode.

De uitvoering van de performancetoets

Op grond van artikel 5 van het Vrijstellings- en boetebesluit wordt op verzoek van een werkgever door een bedrijfstakpensioenfonds vrijstelling verleend van de verplichtstelling aan dat bedrijfstakpensioenfonds indien sprake is van onvoldoende beleggingsrendement. Voor de vaststelling of sprake is van onvoldoende beleggingsrendement wordt een performancetoets uitgevoerd. De performancetoets was voorheen opgenomen in bijlage 1 van het Vrijstellings- en boetebesluit en is met het Besluit toekomst pensioenen per 1-7-2023 vrijwel ongewijzigd verplaatst naar de Regeling vrijstellingen Wet Bpf 2000, om deze toets sneller aan te kunnen passen aan nieuwe inzichten.

Met de performancetoets worden de beleggingsprestaties van het bedrijfstakpensioenfonds gemeten. Als een bedrijfstakpensioenfonds over een periode van 5 kalenderjaren gemiddeld ondermaats presteert, dan is het bedrijfstakpensioenfonds verplicht om werkgevers die daarom verzoeken vrijstelling te verlenen van de verplichtstelling. Aan deze vrijstelling is het voorschrift verbonden dat aan de pensioenregeling van de werkgever pensioenaanspraken worden ontleend die gelijkwaardig zijn aan de pensioenaanspraken die aan de pensioenregeling van het bedrijfstakpensioenfonds worden ontleend. De werkgever moet dus een pensioenregeling aanbieden die gelijkwaardig is aan de pensioenregeling die het bedrijfstakpensioenfonds uitvoert en deze laten uitvoeren door een andere partij. De vrij te stellen pensioenregeling van de werkgever moet voldoen aan de actuariële en financiële gelijkwaardigheid zoals beschreven in artikel 6a van de Regeling vrijstellingen Wet Bpf 2000. Deze gelijkwaardige aanspraken worden aangetoond met een toetsing op de in te leggen premie voor het pensioen op opbouwbasis en dezelfde uitkeringshoogte voor elke pensioensoort op risicobasis (financiële gelijkwaardigheid), een toetsing op een minimaal gelijke hoogte van de contante waarde van de uitkeringsstromen (actuariële gelijkwaardigheid) en een toetsing op het hanteren van minstens dezelfde beoogde pensioendoelstelling. Het beleggingsbeleid van het bedrijfstakpensioenfonds hoeft logischerwijs niet door de vrijgestelde werkgever te worden toegepast. Het zijn in een dergelijk geval immers juist de beleggingsprestaties waarop het bedrijfstakpensioenfonds onderpresteert.

Door de Wet toekomst pensioenen hebben alle pensioenregelingen met actieve opbouw in principe het karakter van een premieregeling. Bovendien zullen de uitkomsten van het door de pensioenuitvoerder gevoerde beleggingsbeleid een grotere rol spelen in de pensioenuitkomsten van de deelnemers. Daarom is het van groot belang dat de performancetoets een actueel en effectief instrument wordt om de beleggingsperformance van het bedrijfstakpensioenfonds te meten. Omdat de berekeningswijze van met name de rendementsspreiding in de huidige performancetoets als gedateerd kan worden beschouwd, zijn aanpassingen van de huidige performancetoets noodzakelijk. Daarbij is het uitgangspunt dat bij de nieuwe performancetoets het niet makkelijker of moeilijker moet worden om een vrijstelling te krijgen dan bij de bestaande performancetoets.

Nieuwe performancetoets

Het artikel over de werking van de performancetoets (artikel 1) is aangepast op basis van de nieuwe, hierna beschreven berekeningswijze. De nieuwe technische berekeningswijze is opgenomen in de gewijzigde bijlage.

In het artikel over de performancetoets bij fusie (artikel 2) vinden ook enkele wijzigingen plaats, voor de situatie waarin twee of meer bedrijfstakpensioenfondsen gedurende een kalenderjaar fuseren. In een dergelijk geval wordt de performancetoets voor dat jaar afwijkend toegepast. Voor de periode voor de fusie wordt een gewogen gemiddelde genomen van het feitelijke netto maandrendement en het maandelijkse normrendement na aftrek van normkosten. Voor de periode na de fusie worden de gegevens van het gefuseerde bedrijfstakpensioenfonds gebruikt. De wijzigingen uit artikel 2 zorgen er hiermee voor dat de tekst van dit artikel aansluit bij de nieuwe berekeningswijze, zoals opgenomen in de bijlage. De berekening van de performancetoets vindt nog steeds plaats over een periode van 60 maanden.

Hieronder wordt de nieuwe technische berekeningswijze verder toegelicht.

In de nieuwe performancetoets worden rendementen gerelateerd aan beleggingskosten en risico. De nieuwe performancetoets maakt gebruik van reeds bestaande gegevens en sluit aan bij bestaande standaarden.1 In de geactualiseerde performancetoets worden de beleggingen verdeeld over verschillende beleggingscategorieën, om beter aan te sluiten bij het feitelijk beleggingsbeleid van het bedrijfstakpensioenfonds. De geactualiseerde performancetoets is een relatieve maatstaf waarbij rekening wordt gehouden met zowel rendement als risico.

In het nieuwe pensioenstelsel vloeit het beleggingsbeleid voort uit de risicohouding van de deelnemers en is niet langer gebaseerd op de verplichtingen van het bedrijfstakpensioenfonds. Vandaar dat de verdeling over de verschillende beleggingscategorieën moet zijn afgestemd op de risicohouding van de deelnemers. In de performancetoets wordt het nettorendement dat volgt uit de implementatie van het beleggingsbeleid van een bedrijfstakpensioenfonds vergeleken met een benchmark die aangepast is aan het beleggingsbeleid en de benchmarks die het bedrijfstakpensioenfonds daarvoor intern hanteert. Dit geschiedt door voor elk bedrijfstakpensioenfonds een normportefeuille te gebruiken die gebaseerd is op de intern gebruikte benchmark voor elke beleggingscategorie.2 Hierbij wordt voor beleggingscategorieën waarvoor geen herbeleggingsindex beschikbaar is een index gebruikt waarvan het rendement identiek is aan het feitelijk gerealiseerd netto rendement, waardoor deze beleggingscategorieën buiten beschouwing worden gelaten. In de huidige performancetoets is voorgeschreven dat in een dergelijk geval een representatieve lokale rentemarktindex vermeerderd met 1 procentpunt kan worden gebruikt. Voor het gebruik van een dergelijke index is echter geen wetenschappelijke onderbouwing.3

Door een index te gebruiken waarvan het rendement identiek is aan het feitelijk gerealiseerd netto rendement, wordt ook weer zoveel mogelijk aangesloten bij het feitelijk beleggingsbeleid van het bedrijfstakpensioenfonds.

Criteria om dit ‘feitelijk rendement’ als benchmark te hanteren, kunnen zijn:

  • geen openbare markt en illiquide belegging;

  • grote sommen bij in- of uittreding;

  • instemmingsvereisten beheerder/andere investeerders; en/of

  • doelinvesteringen met maatschappelijke relevantie.

Voorbeelden van dit laatste criterium zijn: infrastructurele projecten met beheer en vergoeding (uit publieke middelen of tol), zorgconcepten met meerdere disciplines en meerjarige overeenkomsten, defensie-industrie en -ontwikkeling met overheidsrestricties op kapitaalverschaffing.

Om de normportefeuille met herbeleggingsindices te kunnen vergelijken met netto rendementen moeten zogenaamde netto normrendementen worden uitgerekend. Netto normrendementen worden bepaald op basis van de rendementen van de herbeleggingsindices verminderd met de normkosten. Aan de bijlage is een tabel toegevoegd met normkosten per beleggingscategorie. Deze tabel is, op de twee onderste rijen na, afkomstig van de Commissie Parameters en zal worden geactualiseerd als de Commissie Parameters de normkosten actualiseert.4 De tabel kent een categorie overlay beleggingen. De normkosten in deze categorie worden in de praktijk bepaald ten opzichte van een grondslag die per bedrijfstakpensioenfonds kan verschillen. Bedrijfstakpensioenfondsen behouden de vrijheid om zelf deze grondslag te bepalen. Tegelijk hebben zij de verplichting om consistent te zijn in het toepassen van de normkosten en de grondslag. Als het beleggingsbeleid verandert, kunnen beleggingscategorieën veranderen en daarmee ook de normportefeuille die gebaseerd is op de indeling van de hoofd- en deelcategorieën van de feitelijke beleggingsportefeuille. De verdeling over beleggingscategorieën in de normportefeuille sluit aan bij de gekozen herbeleggingsindices voor de verschillende beleggingscategorieën. Als het beleggingsbeleid substantieel verandert, kan een bedrijfstakpensioenfonds een eenmaal vastgesteld beleggingsbeleid of vastgestelde normportefeuille opnieuw vaststellen. Aangezien de informatie over wijzigingen in de normportefeuille bedrijfsgevoelig is, is niet langer verplicht dat deze wijzigingen worden gepubliceerd in de Staatscourant. Wel dient iedere aanpassing van de normportefeuille voorafgaand aan de inwerkingtreding van die aanpassing afdoende te worden vastgelegd en onderbouwd.

In lijn met de voorgaande performancetoets is bepaald dat het door het bedrijfstakpensioenfonds feitelijk behaalde beleggingsrendement in negatieve zin gemiddeld gezien significant afwijkt van het rendement van de normportefeuille indien de t-toetsingsgrootheid kleiner is dan 1,671 wanneer deze berekening gebaseerd is op 60 maandelijkse observaties. De constante van 1,671 staat in de statistiek voor de kritieke waarde op basis van een zogenaamde eenzijdige Type 1 fout (ten onrechte verwerping van de nulhypothese) van 5% op basis van de t-verdeling op basis van 60 maandelijkse observaties.5 Uit berekeningen bij een beperkt aantal bedrijfstakpensioenfondsen over de afgelopen 5 jaar met de nieuwe performancetoets blijkt dat de standaarddeviatie van de nieuwe performancetoets kleiner is dan die van de oude performancetoets. Deze kleinere standaarddeviatie maakt het mogelijk om het significantieniveau te verschuiven van 10% naar 5%. Significantie bij 5% is een gebruikelijk niveau in de wetenschappelijke literatuur om een afwijking als significant te duiden. Door deze wijziging van het significantieniveau is de kans verkleind dat de toets ten onrechte onderpresteren signaleert.

Verzoek tot deling gegevens

Het doel van de performancetoets is bedrijven de mogelijkheid te geven om uit te treden als bedrijfstakpensioenfondsen over een langere periode significant onderpresteren. Dit geeft bedrijven een aanvullend handelingsperspectief mocht een bedrijfstakpensioenfonds onderpresteren.

Om inzicht te krijgen in de vraag of een bedrijfstakpensioenfonds onderpresteert, kan eenieder een verzoek doen aan het bedrijfstakpensioenfonds voor het delen van gegevens over het beleggingsbeleid, de normportefeuille, de niet-openbare herbeleggingsindices of indices waarvan het rendement identiek is aan het feitelijke rendement van de betreffende categorie of deelcategorie, de feitelijke rendementen en het rendement van de gekozen normportefeuille over het voorafgaande boekjaar. In de praktijk betekent dit dat bijvoorbeeld iedere deelnemer en iedere werkgever die een vrijstelling aan wil vragen om deze gegevens kan verzoeken en deze binnen een redelijke termijn dient te ontvangen, maar ook gebruikelijk is dat deze gegevens (gedeeltelijk) in het jaarverslag worden opgenomen. Er zijn verschillende momenten vastgesteld vanaf wanneer de gegevens moeten worden verstrekt, afhankelijk van het moment waarop de gegevens beschikbaar zijn.

Inwerkingtreding nieuwe performancetoets

Doorrekeningen van bedrijfstakpensioenfondsen hebben uitgewezen dat het combineren van (de uitkomsten van) de bestaande performancemeting en de nieuwe performancemeting tot de situatie leidt dat negatieve en positieve resultaten, die elkaar in de bestaande methodiek neutraliseren, elkaar bij een geleidelijke overstap niet meer neutraliseren. Dat zou ten onrechte leiden tot het oordeel de performance onvoldoende is. Dit effect is niet beoogd. Daarom kunnen bedrijfstakpensioenfondsen in één keer overstappen op de nieuwe performancemeting om dit onbedoelde effect tegen te gaan. Dat vergt dan wel herrekening van eerdere performancecijfers conform de nieuwe methodiek. Er wordt bij het uitvoeren van de performancetoets immers teruggekeken naar de afgelopen vijf jaar (2023–2027), toen nog de oude methodiek werd gebruikt. Hiervoor is in lid 5 van de bijlage een methodiek opgenomen. Voor de jaren 2023 tot en met 2026 wordt het mogelijk om voor die jaren de toen geldende normportefeuilles te gebruiken, evenals de voor die jaren gehanteerde normkosten. De netto maandrendementen van de normportefeuilles worden voor deze jaren bepaald door in iedere maand 1/12e deel van de normkosten in mindering te brengen op de normrendementen. Voor het jaar 2027 is dit niet nodig, omdat deze cijfers in 2028 worden vastgesteld. Bij het vaststellen van deze cijfers kan rekening worden gehouden met de nieuwe performancetoets.

Inlichtingenplicht gegevens performancetoets

Tot slot is het relevant om te vermelden dat de met de wijziging van het Vrijstellings- en boetebesluit van 15 augustus 2025 geïntroduceerde inlichtingenplicht geldt voor zowel de ‘oude’ manier van berekenen van de performancetoets (tot 1-1-2028) als voor de nieuwe manier van berekenen van de performancetoets (vanaf 1-1-2028). Voor te bewaren gegevens geldt het volgende: per boekjaar wordt de performancetoets over de voorgaande 5 jaren gedaan, dus alle gegevens die zijn gebruikt voor het uitvoeren van de performancetoets dienen steeds per 5 jaar terugkijkend te worden verzameld en verstrekt. Zo wordt er in 2030 bijvoorbeeld teruggekeken naar de beleggingsperformance van 2025–2029, en de gegevens die daarvoor zijn gebruikt dienen nog 7 jaar bewaard te worden. Door deze informatie op deze manier te verzamelen en op termijn te verstrekken voor evaluatie, kan de werking van de performancetoets goed worden geëvalueerd. Op deze manier is namelijk te herleiden hoe de performancetoets door verschillende bedrijfstakpensioenfondsen wordt uitgevoerd en kunnen ook verschillen in interpretatie van benchmarks worden achterhaald.

Regeldruk

Er worden geen additionele verplichtingen of handelingen voorgesteld voor burgers, bedrijven en de overheid.

Voor de aanpassingen van de berekeningsmethoden van de performancetoets is de verwachting dat er behalve kennisnamekosten bij bedrijfstakpensioenfondsen weinig additionele regeldruk zal zijn, omdat wordt aangesloten bij gegevens die nu ook al in de praktijk worden gebruikt, en deze vernieuwde berekeningen enkel de oudere methodes – die minder goed aansloten bij de praktijk – vervangen.

Wat betreft de uitwerking van de inlichtingenverplichting, is er bij de wijziging van het Vrijstellings- en boetebesluit van 15 augustus 2025 reeds omschreven dat deze inlichtingen bewaren en verstrekken op zichzelf voor beperkte extra regeldruk zorgt, omdat deze gegevens nu ook al moeten worden gegenereerd. Het ter beschikking stellen van de gebruikte gegevens ten bate van monitoring of evaluatie zal daardoor naar verwachting ook beperkte extra regeldrukkosten voor bedrijfstakpensioenfondsen met zich meebrengen.

Zodoende worden er zeer beperkte regeldrukkosten verwacht, ook wat betreft de kennisnamekosten.

Deze Regeling is voorgelegd aan het Adviescollege toetsing regeldruk (ATR). Het Adviescollege heeft het dossier niet geselecteerd voor een formeel advies, omdat het naar verwachting geen omvangrijke gevolgen voor de regeldruk heeft.

Internetconsultatie

De ontwerpregeling heeft van 12 december 2025 tot en met 23 januari 2026 voorgelegen voor internetconsultatie. In deze periode zijn tien reacties ontvangen. De reacties bevatten bijna allen zowel positieve opmerkingen over de systematiek van de performancetoets binnen de Wet Bpf als enige voorstellen voor aanpassing van de voorgestelde maatregelen.

Het doel van deze wijzigingsregeling en de performancetoets zelf is met name om het mogelijk te maken dat een werkgever diens pensioenregeling bij een andere uitvoerder kan laten uitvoeren als een verplichtgesteld bedrijfstakpensioenfonds aantoonbaar en langdurig niet afdoende presteert op het gebied van beleggingsrendementen. Voor de prestaties van bedrijfstakpensioenfondsen geldt echter geen absolute norm: het gaat om de relatieve beleggingsperformance ten opzichte van de zelf gehanteerde benchmarks. Er is immers sprake van verschillen tussen bedrijfstakpensioenfondsen in onder andere het risicoprofiel van deelnemers en het strategisch beleggingsbeleid, passend bij de lifecycle en de deelnemerspopulatie. Onderlinge vergelijking van enkel rendementen van bedrijfstakpensioenfondsen geeft daarmee ook geen evenwichtig beeld van de beleggingsprestaties. Een lager, vaster rendement op langere termijn kan bijvoorbeeld passender zijn dan een hoger rendement met een hoger risico op korte termijn. Vanuit deze uitgangspunten zijn de reacties op de internetconsultatie gewogen.

De minister heeft alle reacties bezien en gewogen. Waar een reactie aanleiding gaf tot een aanpassing, is dat in deze paragraaf vermeld. De aanpassingen zijn verwerkt in de regeling en waar nodig ook in de toelichting. Reacties die een wezenlijk onderdeel van de ontwerpregeling raken, maar die na weging geen aanleiding vormen voor een aanpassing, zijn hieronder eveneens weergegeven. Daarbij is vermeld op grond van welke overwegingen het commentaar niet is overgenomen. De betreffende reacties en eventuele aanpassingen zijn, waar mogelijk, thematisch ingedeeld in de volgorde van de toelichting van deze regeling.

Normportefeuilles en daadwerkelijk rendement

Bureau OverRendement stelt een andere berekeningswijze voor waardoor ook het strategisch beleggingsbeleid onderdeel wordt van de performancetoets. Het strategisch beleggingsbeleid wordt bepaald door de risicohouding van de deelnemers van het pensioenfonds. Deze risicohouding verschilt per pensioenfonds. Alleen al door verschillen in leeftijdsopbouw van het deelnemersbestand van het pensioenfonds zou het opnemen van het strategisch beleggingsbeleid ertoe leiden dat de uitkomsten voor verschillende pensioenfondsen niet meer goed onderling vergelijkbaar zijn. Daarom is ervoor gekozen het strategisch beleggingsbeleid buiten de performancetoets te houden. Ook een onderlinge vergelijking van rendementen van pensioenfondsen zoals het Verbond van Verzekeraars voorstelt, is niet mogelijk door verschillen in risicohouding tussen pensioenfondsen.

OverRendement, Verbond van Verzekeraars en enige anonieme reacties geven aan dat de normportefeuille kan worden aangepast bij elke wijziging van de strategische portefeuille. De normportefeuille kan inderdaad worden aangepast aan de feitelijke beleggingsportefeuille. Hiermee wordt voorkomen dat bij de performancetoets benchmarks worden gebruikt die geen afspiegeling zijn van de feitelijke beleggingsportefeuille.

OverRendement, het Verbond van Verzekeraars en enige anonieme reacties geven ook aan dat actieve beleggingskeuzes van het pensioenfonds verwerkt worden in de normportefeuille en daarmee niet getoetst worden.

In de normportefeuille worden inderdaad de benchmarks gebruikt die pensioenfondsen ook zelf in hun interne processen gebruiken, ook voor beleggingscategorieën waarin pensioenfondsen actief beleggen. Op deze manier heeft de strategische afweging tussen actief en passief beleggen geen invloed op de uitkomst van de performancetoets. Dit maakt de performancetoets beter onderling vergelijkbaar tussen pensioenfondsen. Hiermee wordt ook voorkomen dat vanuit de performancetoets een prikkel zou kunnen uitgaan om actief dan wel passief te beleggen.

OverRendement, Verbond van Verzekeraars en enige anonieme reacties geven verder aan dat illiquide categorieën en/of overlay-strategieën geen passende benchmark hebben en het rendement in de normportefeuille wordt gelijkgesteld aan het gerealiseerde rendement. Daarmee wordt inderdaad het netto rendement van deze beleggingscategorieën buiten de performancetoets gehouden. De performancetoets wordt daarmee als minder betekenisvol ervaren. De performancetoets beoordeelt alleen beleggingscategorieën die kunnen worden beoordeeld omdat ze een benchmark hebben, illiquide beleggingscategorieën hebben deze vanuit hun aard niet. Een alternatief had kunnen zijn bij deze categorieën het rendement af te zetten tegen een fictieve benchmark. Dit zou echter de resultaten van beleggingscategorieën die wel goed meetbaar zijn vertroebelen. De rendementen op overlay-strategieën (zoals derivaten) waarmee renterisico’s en valutarisico’s worden afgedekt, vallen onder het strategische beleggingsbeleid dat buiten de performancetoets valt vanwege hierboven aangegeven redenen.

Om de uitlegbaarheid van de performancetoets te vergroten richting werkgevers en deelnemers verzoekt adviseur TrigNum voor de rapportage van de performancetoets een onderscheid vast te leggen in rendementsportefeuille, matchingportefeuille en overige beleggingen. Hoewel de uitlegbaarheid van de performancetoets belangrijk is, is dat geen doel van deze toets. Het doel is underperformance op een duidelijke wijze vast te stellen. Een onderscheid in verschillende beleggingsportefeuilles dient dat doel niet.

Adviseur TrigNum vraagt verder te verduidelijken dat renteafdekking met liquide rentederivaten in beginsel niet onder de uitzondering voor 'feitelijk rendement' valt. Voor rente-afdekking met liquide rentederivaten kan een representatieve openbare herbeleggingsindex worden gebruikt, omdat hier sprake is van liquide markten. In een dergelijk geval hoeft dus geen gebruik te worden gemaakt van een index waarvan het rendement identiek is aan het feitelijke rendement van de betreffende categorie of deelcategorie (zie artikel 1, tweede lid, van de regeling).

Een anonieme reactie stelt voor het ‘hypothetisch geheel risicomijdend beleggingsbeleid’ dat fondsen opgeven om de verwachtingsmaatstaf van hun wettelijke risicohouding te bepalen, als basis te gebruiken voor de performancetoets. De afwijking van het risicomijdend beleggingsbeleid zegt echter niets over de hoeveelheid beleggingsrisico die is genomen. Daarom kan een dergelijke basis niet gebruikt worden om de performance op een goede manier te toetsen.

Strengheid van de toets

FNV, CNV en de Pensioenfederatie (PF) stellen dat de voorgestelde performancetoets strenger is dan de oude performancetoets – dat wil zeggen, dat het voor het bedrijfstakpensioenfonds moeilijker wordt om te slagen voor de performancetoets, terwijl gelijke drempelwaardes zijn beoogd.

Dat zou betekenen dat gemakkelijker een vrijstelling zou kunnen worden aangevraagd. Zij geven aan dat de grens waarop underperformance wordt vastgesteld daalt voor een representatief pensioenfonds van een jaarlijkse underperformance van 0,8% naar 0,4%. Deze verandering komt volgens de PF door de verandering in de standaarddeviatie: de wortel van de noemer van de performancetoets. De standaarddeviatie in de bestaande performancetoets ligt volgens de PF veelal tussen 1,4% en 1,8% afhankelijk van de verdeling van de beleggingsportefeuille over aandelen en obligaties. De standaarddeviatie in de nieuwe performancetoets bedraagt volgens de PF bij de pensioenfondsen in hun backtest 0,4% mediaan en 0,6% gemiddeld.

De informatie van de PF is op geaggregeerd niveau, waar informatie op het niveau van het pensioenfonds een beter beeld zal kunnen geven. Uit eerder verstrekte informatie van deze backtest blijkt ook dat er een grote spreiding zit tussen de pensioenfondsen in de standaarddeviaties. Daarnaast heeft deze informatie betrekking op een beperkte groep bedrijfstakpensioenfondsen. De representativiteit is daardoor onzeker en de gegevens van de backtest moeten daarom met voorzichtigheid worden geïnterpreteerd. Bij de nieuwe performancetoets is het significantieniveau van de performancetoets verschoven van 10% naar 5%. Hierdoor is de kans dat een bedrijfstakpensioenfonds ten onterechte zakt aanzienlijk verminderd. Een verschil in de standaarddeviatie tussen de huidige en nieuwe performancetoets in de noemer van de performancetoets kan niet in isolatie worden bezien. Deze moet relatief worden genomen ten opzichte van het verschil in de teller tussen de huidige en nieuwe performancetoets. In de teller zal de benchmark meebewegen met de algemene ontwikkeling in de markt.

De komende periode zal de performancetoets verder worden gemonitord om een beter beeld te krijgen van de verschillen tussen de huidige en de nieuwe performancetoets.

Evaluatie en monitoring

Zowel de Pensioenfederatie als FNV, CNV en VCP geven aan dat zij de komende jaren monitoring van de voorgestelde maatregelen wenselijk achten, respectievelijk gedurende de komende twee en vier jaren (tot 2030). De minister is het met deze partijen eens dat het van belang is om afdoende gegevens te verzamelen over de uitwerking van de performancetoets in de praktijk. Daarin is in deze wijzigingsregeling voorzien, door deze elementen per 1 januari 2028 in werking te laten treden. Ook de geïntroduceerde inlichtingenplicht, nader uitgewerkt in deze regeling, maakt deze monitoring en ook een vergelijking tussen de ‘oude’ en ‘nieuwe’ toets mogelijk. Er is gekozen voor een balans tussen helderheid voor de betreffende bedrijfstakpensioenfondsen over de systematiek van toetsing in de toekomst enerzijds, door de nieuwe toetsing nu te publiceren, en anderzijds nog afdoende tijd te hebben om deze in de praktijk uit te testen, zodat eventuele onbedoelde uitvoeringsproblemen en verschillen in uitkomsten nog voor definitieve inwerkingtreding kunnen worden bezien.

Ook ziet de minister dat het niet opportuun is om deze wijzigingen van de performancetoets tijdens de transitieperiode (tot 2028) te laten ingaan, vanwege de mogelijke wijzigingen van het beleggingsbeleid van pensioenfondsen tijdens de transitie. Verder uitstel van de inwerkingtreding van de wijzigingen van de performancetoets tot een periode van vier jaren is wat de minister betreft een te lange termijn om nog met de huidige performancetoets te blijven werken, temeer omdat deze op basis van wetenschappelijke rapporten niet voldoende effectief is. Tevens is het geval dat bijna alle verplichtgestelde bedrijfstakpensioenfondsen al in of voor 2027 over gaan op het nieuwe pensioenstelsel. Daarmee zijn verband houdende wijzigingen van het beleggingsbeleid reeds doorgevoerd in 2028. Er is hiermee een afweging gemaakt tussen enerzijds het belang om de wijzigingen sneller in te voeren en eerder te komen tot een effectievere performancetoets, en anderzijds het belang om later in te voeren vanwege de uitvoering van de pensioentransitie.

De minister merkt hierbij wel op, dat tijdens de transitieperiode (de komende twee jaar) de huidige toetsing, d.m.v. de z-score, onverkort blijft gelden. De komende twee jaren maakt de minister graag gebruik van het aanbod van de Pensioenfederatie om gegevens te verzamelen en gezamenlijk te analyseren, om eventuele onvoorziene effecten in kaart te brengen.

Ook zal de minister in gezamenlijkheid met sociale partners, het Verbond van Verzekeraars en de Pensioenfederatie in overleg treden over monitoring en evaluatie van de nieuwe performancetoets.

Overig

In hun reactie heeft TrigNum erop gewezen, dat een nadere duiding wenselijk zou zijn in de toelichting van deze regeling of in het Beleidskompas over het belang van het hebben van de performancetoets in de ‘markt’ voor verplichtgestelde bedrijfstakpensioenfondsen. Ook anderen, zoals de Pensioenfederatie, het Verbond van Verzekeraars, en de FNV, CNV en VCP besteden in hun reactie aandacht aan de rol van de performancetoets binnen de Wet Bpf. De toelichting is hierop aangepast, zodat voor eenieder niet alleen de doelen van deze wijzigingsregeling, maar ook de doelen van de performancetoets in de systematiek helder zijn.

Het Verbond van Verzekeraars wijst er in hun reactie voorts op, dat de invulling van het begrip ‘gelijke aanspraken’ in artikel 6a van de Regeling vrijstellingen Wet Bpf 2000 zou moeten worden aangepast naar enkel financiële gelijkwaardigheid, als er sprake is van underperformance en de werkgever de pensioenregeling elders onder wil brengen. Ook wijst ze erop dat het in deze gevallen niet wenselijk is om de verwachte beleggingsresultaten onderdeel te laten zijn van de vergelijking, omdat het juist deze rendementen zijn die zorgen dat de werkgever een vrijstelling zou willen. Dit onderwerp is echter geen onderdeel van de voorliggende wijzigingsregeling en valt daarmee buiten de reikwijdte van deze internetconsultatie.

De Pensioenfederatie merkt op dat zij de ‘definitieve’ performancetoets en gelijkwaardigheidstoetsing het liefst verankerd zien op het wetstechnische niveau van het Vrijstellings- en boetebesluit, in plaats van in deze ministeriele regeling.

De minister is van mening dat juist het plaatsen van deze elementen in een ministeriele regeling, zorgt voor de mogelijkheid tot eventuele snellere aanpassingen wanneer de economische of marktomstandigheden daarom vragen of wanneer uit monitoring en evaluatie voortvloeit dat dit noodzakelijk is. Juist vanwege die elementen, die ook naar voren worden gebracht in de reactie van FNV, CNV en VCP, is het niveau van de ministeriële regeling een gepaste plek. Tevens is het gebruikelijk om dit type technische uitwerkingen, zoals berekeningswijzen, in een ministeriele regeling op te nemen.6

Er is ook nog een reactie binnengekomen die ziet op een vraag over het herrekenen van de performancetoets rondom invaren. Dit wordt reeds ondervangen door lid 5 van de bijlage bij deze regeling.

Technisch

Tenslotte zijn enige relevante tekstuele en technische verbeteringen in de vergelijkingen doorgevoerd. De minister dankt de indieners van deze technische opmerkingen, zoals de Pensioenfederatie, voor hun bijdragen.

II. Artikelsgewijze toelichting

Artikel I, onderdeel A (artikel 1)

In artikel 1 zijn de nieuwe regels over de performancetoets opgenomen. Zie voor een verdere toelichting hierop het algemeen deel van de toelichting.

Met betrekking tot het vierde lid, onderdeel d, geldt dat het bedrijfstakpensioenfonds de gebruikte indices ter beschikking stelt. Dit zijn óf de niet-openbare herbeleggingsindices óf de indices waarvan het rendement identiek is aan het feitelijke rendement van de betreffende categorie of deelcategorie, bedoeld in het tweede en derde lid, van artikel 1. Indien een bedrijfstakpensioenfonds een representatieve openbare herbeleggingsindex heeft gebruikt, is dit onderdeel niet van toepassing.

In het vierde lid, onderdeel e, is de verwijzing naar een specifiek punt uit de bijlage aangepast, omdat de bijlage zelf ook is gewijzigd.

Hieronder is voor de duidelijkheid het nieuwe artikel 1 opgenomen, met daarin dikgedrukt wat nieuw is ten opzichte van het artikel zoals dat voor deze wijziging luidde. Los hiervan zijn sommige delen van het artikel vervallen, omdat de performancetoets anders is vormgegeven.

Artikel 1. Performancetoets

1. Ten behoeve van de performancetoets stelt het bedrijfstakpensioenfonds jaarlijks het beleggingsbeleid voor het daarop volgende kalenderjaar vast waarbij een adequate verdeling van de beleggingen is gemaakt over beleggingscategorieën. Van een adequate verdeling over beleggingscategorieën is sprake indien aannemelijk gemaakt kan worden dat die verdeling:

a. is bepaald in samenhang met het financieringsbeleid en is afgestemd op de risicohouding van deelnemers, gewezen deelnemers en pensioengerechtigden en de beoogde pensioendoelstelling, bedoeld in artikel 10a, eerste lid, van de Pensioenwet; en

b. is gekozen op basis van projecties die gebaseerd zijn op realistische en onderling consistente veronderstellingen.

2. Als benchmark als bedoeld in artikel 5, eerste lid, van het Vrijstellings- en boetebesluit Wet Bpf 2000 stelt het bedrijfstakpensioenfonds een normportefeuille vast. De normportefeuille wordt jaarlijks voor het daarop volgende kalenderjaar vastgesteld en is gebaseerd op de in het eerste lid bedoelde verdeling van beleggingen over hoofdcategorieën, waarbij deze verdeling verder onderverdeeld kan worden naar deelcategorieën en landen of sectoren waarin belegd wordt en waarbij deze onderverdeling voorzien wordt van herbeleggingsindices voor het daarop volgende jaar die breed samengesteld, belegbaar en objectief meetbaar zijn. Indien geen representatieve openbare herbeleggingsindex bestaat of van toepassing is, kan een representatieve niet-openbare herbeleggingsindex worden gebruikt of, indien deze laatste ook niet beschikbaar is, een index waarvan het rendement identiek is aan het feitelijke rendement van de betreffende categorie of deelcategorie. Bij de vaststelling van de normportefeuille geeft het bestuur van het bedrijfstakpensioenfonds aan welk beleid wordt gehanteerd voor de periodieke herschikking van de in de normportefeuille vastgelegde verdeling over hoofd- en deelcategorieën.

3. In afwijking van het eerste en tweede lid kan het bedrijfstakpensioenfonds een eenmaal vastgesteld beleggingsbeleid respectievelijk vastgestelde normportefeuille in de loop van een jaar voor het op dat moment nog resterende deel van dat jaar opnieuw vaststellen vanwege substantiële veranderingen in het beleggingsbeleid van het pensioenfonds. Iedere aanpassing in de normportefeuille wordt voorafgaand aan de inwerkingtreding van die aanpassing afdoende vastgelegd en onderbouwd.

4. Het bedrijfstakpensioenfonds:

a. deelt op verzoek vanaf 1 april van het desbetreffende jaar schriftelijk mee welk beleggingsbeleid als bedoeld in het eerste lid het heeft gekozen waarbij de gemaakte keuzen met een toelichting zijn onderbouwd;

b. overlegt op verzoek vanaf 1 april van het desbetreffende jaar een verklaring van een externe accountant die voldoet aan artikel 393, eerste lid, van Boek 2 van het Burgerlijk Wetboek, waaruit blijkt dat een normportefeuille als bedoeld in het tweede lid is vastgesteld en voorzien is van een toelichting waarbij de gemaakte keuzen zijn onderbouwd;

c. deelt op verzoek vanaf 1 januari schriftelijk mee welke normportefeuille als bedoeld in het tweede en derde lid het over het daaraan voorafgaande jaar had gekozen waarbij de gemaakte keuzen met een toelichting zijn onderbouwd;

d. stelt op verzoek en indien van toepassing vanaf 1 juli de over het voorafgaande jaar gehanteerde niet-openbare herbeleggingsindices of indices waarvan het rendement identiek is aan het feitelijke rendement van de betreffende categorie of deelcategorie , bedoeld in het tweede en derde lid, ter beschikking zonder hiervoor op enigerlei wijze kosten in rekening te brengen; en

e. deelt op verzoek vanaf 1 juli schriftelijk het feitelijk rendement van het bedrijfstakpensioenfonds en het rendement van de gekozen normportefeuille als bedoeld in punt 4 van de bijlage bij deze regeling mee.

Artikel I, onderdeel B (artikel 2)

In artikel 2 zijn de nieuwe regels opgenomen over de performancetoets in het geval van een fusie van twee of meer bedrijfstakpensioenfondsen. Met een gefuseerd bedrijfstakpensioenfonds wordt bedoeld: de verkrijgende rechtspersoon die het vermogen van één of meerdere bedrijfstakpensioenfondsen onder algemene titel verkrijgt en na fusie blijft bestaan of ontstaat. Zie voor een verdere toelichting op dit artikel het algemeen deel van de toelichting.

Hieronder is voor de duidelijkheid het nieuwe artikel 2 opgenomen, met daarin dikgedrukt wat nieuw is ten opzichte van het artikel zoals dat voor deze wijziging luidde.

Artikel 2. Performancetoets na fusie

Indien de fusie van twee of meer bedrijfstakpensioenfondsen tot een gefuseerd bedrijfstakpensioenfonds heeft plaatsgevonden in de loop van een kalenderjaar wordt de performancetoets van het gefuseerde bedrijfstakpensioenfonds over het kalenderjaar van de fusie als volgt berekend:

a. voor de periode voorafgaand aan de fusie wordt voor iedere maand het gewogen gemiddelde bepaald van het feitelijke netto maandrendement en het maandelijkse normrendement na aftrek van normkosten, waarbij weging plaatsvindt op basis van de vermogens van de fuserende pensioenfondsen aan het begin van de maand;

b. voor de periode vanaf de fusie worden voor iedere maand het feitelijke netto rendement en het normrendement na aftrek van normkosten van die maand van het gefuseerde bedrijfstakpensioenfonds gehanteerd; en

c. de performancetoets wordt toegepast op de aldus gevormde reeks van 60 maandrendementen.

Artikel I, onderdeel C (artikel 7)

Het derde lid van artikel 7 wordt zodanig gewijzigd dat artikel 7 met ingang van 1 januari 2028 vervalt. Dit artikel voorziet immers in overgangsrecht gedurende de transitieperiode naar het nieuwe pensioenstelsel en kan daarom na 1 januari 2028 vervallen. Deze wijziging is reeds aangekondigd in de toelichting bij de Regeling van de Minister van Sociale Zaken en Werkgelegenheid van 24 september 2025, houdende wijziging van de Regeling vrijstellingen Wet Bpf 2000 in verband met aanpassingen financiële en actuariële gelijkwaardigheid.

Artikel I, onderdeel D (bijlage bij artikel 1)

In de bijlage bij artikel 1 is opgenomen hoe de performancetoets wordt uitgevoerd. Ook de regels hiervoor zijn aangepast. Zie voor een verdere toelichting hierop het algemeen deel van de toelichting.

Artikel II (Inwerkingtreding)

Deze regeling treedt in werking met ingang van 1 januari 2028. Uitzondering hierop is de wijziging van artikel 7. In het derde lid van artikel 7 wordt de datum die het einde van de transitieperiode naar het nieuwe stelsel markeert met een jaar opgeschoven, van 1 januari 2027 naar 1 januari 2028. Deze wijziging dient uiteraard vóór 1 januari 2027 in werking te treden. Vandaar de inwerkingtreding op de dag na publicatie van deze regeling.

De Minister van Sociale Zaken en Werkgelegenheid, J.A. Vijlbrief


X Noot
1

Van Dijk (2025), Een reflectie op de performancetoets voor bedrijfstakpensioenfondsen, Industry paper Netspar.

X Noot
2

Onder beleggingscategorieën worden in deze regeling verstaan de beleggingscategorieën zoals het bedrijfstakpensioenfonds deze hanteert. Dit geldt ook voor de eventuele verdeling over hoofd- en deelcategorieën.

X Noot
3

Zie Van Dijk (2025), Een reflectie op de performancetoets voor bedrijfstakpensioenfondsen, Industry paper Netspar.

X Noot
4

Voor de normkosten kunnen de kosten per beleggingscategorie worden gebruikt die de Commissie Parameters in hun meest recente advies hanteert, zie ook pagina 42 van de bijlage bij Kamerstukken II 2022/23, 32 043, nr. 596 (Advies Commissie Parameters 2022).

X Noot
5

National institute of Standards and Technology, US Department of Commerce, Critical values of Student’s t distribution with ν degrees of freedom.

X Noot
6

Zie aanwijzing 2.24, eerste lid, van de Aanwijzingen voor de regelgeving, waarin is opgenomen dat ‘Delegatie van regelgevende bevoegdheid aan een minister wordt beperkt tot voorschriften van administratieve aard, uitwerking van de details van een regeling, voorschriften die dikwijls wijziging behoeven en voorschriften waarvan te voorzien is dat zij mogelijk met grote spoed moeten worden vastgesteld.


X Noot
1

Van Dijk (2025), Een reflectie op de performancetoets voor bedrijfstakpensioenfondsen, Industry paper Netspar.

X Noot
2

Onder beleggingscategorieën worden in deze regeling verstaan de beleggingscategorieën zoals het bedrijfstakpensioenfonds deze hanteert. Dit geldt ook voor de eventuele verdeling over hoofd- en deelcategorieën.

X Noot
3

Zie Van Dijk (2025), Een reflectie op de performancetoets voor bedrijfstakpensioenfondsen, Industry paper Netspar.

X Noot
4

Voor de normkosten kunnen de kosten per beleggingscategorie worden gebruikt die de Commissie Parameters in hun meest recente advies hanteert, zie ook pagina 42 van de bijlage bij Kamerstukken II 2022/23, 32 043, nr. 596 (Advies Commissie Parameters 2022).

X Noot
5

National institute of Standards and Technology, US Department of Commerce, Critical values of Student’s t distribution with ν degrees of freedom.

X Noot
6

Zie aanwijzing 2.24, eerste lid, van de Aanwijzingen voor de regelgeving, waarin is opgenomen dat ‘Delegatie van regelgevende bevoegdheid aan een minister wordt beperkt tot voorschriften van administratieve aard, uitwerking van de details van een regeling, voorschriften die dikwijls wijziging behoeven en voorschriften waarvan te voorzien is dat zij mogelijk met grote spoed moeten worden vastgesteld.

Naar boven